За повишаване на физическата дееспособност и възпитаване на физически качества у децата е необходимо въвеждане на нови елементи и упражнения, които допълнително ще ги мотивират да спортуват и да се усъвършенстват физически. Работата за развиване на физическата дееспособност е съпроводена с общ обем на функционалните възможности на организма, но трябва да отчетем факта, че всяко дете има различен темп на развитие и различна физическа култура. Тук на помощ ни идват леките йога упражнения, които са интригуващи и лесно изпълними от децата. Физическата дейност, съпроводена с йога упражнения, винаги е свързана с двигателните умения и навици, а също и с волевите качества. Положителните емоции в йога упражненията, повторяемостта и психическото разтоварване стимулират по-добра умствена дейност в предучилищния и началния етап на образование. Като целта е общо укрепване на организма, добра двигателна компетенция, физическо, емоционално и когнитивно здраве на децата.
При 6-7-годишните функционалното състояние отразява достигнатото ниво на физическите сили на детето. За това ниво се съди по максималните постижения, показани при тестването в края на всяка учебна година, с помощта на което се измерва проявлението на физическите качества, но това не бива да бъде унифицирана рамка, защото е по-важно децата да изпитват удовлетворение от самата физическа дейност. Разбира се, добрата физическа подготовка и дееспособност на децата в 4-та възрастова група е гаранция за добро здраве и повишена умствено-познавателна дейност, която ще се развива в следващия етап от обучението и възпитанието на децата – в училище.
Детската йога, съчетана с основната физическа дейност в детската градина, е не само ефективна форма за повишаване на физическата дееспособност на децата, но тя е и разновидност на психотерапията и автотренинга. В основата на йога упражненията са залегнали самоконтролът, самоусъвършенстването, саморегулацията и мотивацията за физическа култура и спорт. Тази система включва някои дихателни упражнения, точно подбрани елементи на детска йога, масаж, упражнения с по-нисък интензитет, упражнения за разтягане и др.
Резултати от контролния етап
|
Характеристики |
Контролна група |
Експериментална група |
| 1. Наблюдавани деца |
30 |
30 |
|
2. Средно постижение |
|
|
|
3. Средно квадратично отклонение |
σ1 |
σ2 |
I етап:
Съставяме две хипотези – Нулева (H0) и Алтернативна (H1), което гласи, че при Нулевата (H0) хипотеза разликата има случаен характер, а при Алтернативната (H1) хипотеза разликата не е случайна, а има закономерен характер.
, т.е. разликата е статистически незначима;
![]()
, т.е. разликата е статистически значима и се дължи на систематични фактори.
В нашия случай, работейки с две групи – КГ и ЕГ, ясно се вижда, че успехът в ЕГ е по-висок, отколкото този в КГ и затова имаме Дясна критична област.
На фиг. 1 е изобразена критичната област и ясно се вижда Дясно дефинираната критична област в нашия случай:
Фиг. 1. Критична област
II етап:
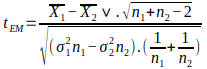
Методът на проверка на поставените по-горе две хипотези зависи от зададените параметри, в случая работим за сравняване на средни величини и затова търсим разликите между средния успех на 6-7-годишните деца по физическа дееспособност, затова използвахме Т-критерия на Стюдънт, със съответната формула:

III етап:
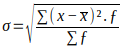
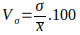
При изчисляването на емпиричната характеристика по данните от извадката на двете групи – КГ и ЕГ използвахме и следните допълнителни формули:

![]()
![]()
IV етап:
Намерихме теоретичната стойност на характеристиката по стандартната таблица на съответното теоретично разпределение при предварително зададено равнище на значимости и определихме степени на свобода. Тогава сравнихме това, което получихме от формулата, с това, което е в таблицата като теоретична стойност, и се направи съответното заключение.
V етап:
Заключение: Получената емпирична характеристика е по-голяма (>) от теоретичната характеристика /в таблицата, която използвахме за сверяване/, затова ще отхвърлим Нулевата хипотеза (H0) и ще приемем Алтернативната хипотеза (H1). Това означава, че разликата в средната успеваемост при физическа дееспособност на децата от КГ и ЕГ не е случайна, а се дължи на приложената нова методика на обучение по физическа култура.
Полученото заключение е вероятностно, приемането на Алтернативната хипотеза означава, че наличните емпирични данни са в нейна полза и то винаги със зададена вероятност (риск) от 5% грешка.
Получените резултати може да се обобщят така:
- В резултат на проверката се потвърди статистическата значимост на параметъра и в този случай Нулевата хипотеза се отхвърли и се прие Алтернативната хипотеза.
- Установи се, че в края на предучилищния период /изходно ниво/ са настъпили редица подобрения на двигателните възможности при момичетата и момчетата от двете подготвителни групи по всички показатели, като децата от ЕГ са показали по-високи нива на физическа дееспособност и обща физическа култура, в сравнение с КГ в детската градина.
- Това означава, че разликата в средния успех на децата между КГ и ЕГ /по всички показатели на физическата дееспособност/ не е случайна, а се дължи на приложената нова методика при 6-7-годишните, които се занимаваха допълнително с упражнения с елементи от йога в часовете и заниманията по физическа култура и извън тях.
- Съчетаването на упражненията с йога елементи, спортната дейност и спортът като цяло, с тези игри и упражнения, които развиват физическите умения и дееспособност на децата, трябва да бъде приоритет при възпитаването и обучението на подрастващите. Чрез тези спортни дейности децата не само че се забавляват, но и усвояват важни умения, които ще им помогнат в бъдеще да са здрави, уверени и социално адаптирани личности.
- Стоянка Георгиева
Старши учител
ДГ “Малкият принц“ – гр. Пловдив